There are many cosmological hydrodynamical simulations which are continually improving in terms of their volume, resolution, and physical modeling. Here we maintain a database of these numerical projects, along with their key characteristics for comparison. We also provide references and links to the figures and publications where a number of common galaxy population statistics and scaling relations have been presented. The availability of public data, or not, is noted.
We include simulations which have been evolved to $z \sim 0$, as opposed to those which stop substantially earlier, such as reionization projects. We also restrict this list to "full-box" periodic volumes, and not smaller zoom samples, as well as simulations with a reasonably high resolution such that galaxies can be studied ($M_{\rm DM} \lesssim 10^8 M_\odot$).
Since all simulations below broadly aim to reproduce the diversity of the galaxy population, they typically include models for star formation, stellar evolution and heavy element production, radiative (metal) cooling, stellar feedback, and supermassive black hole feedback. The details and sophistication of these models differ between simulations, as do their results and outcomes.
| Metadata | Resolution | References and Data | Results | |||||||||||||||||||||||||||||||
| Simulation Name |
Simulation Family |
Year | Code | Box Size $[\rm{cMpc}]$ | $N_{\rm baryon}^\dagger$ | $N_{\rm DM}$ | $M_{\rm baryon}^\ddagger$ $[\rm{M}_\odot]$ |
$M_{\rm DM}$ $[\rm{M}_\odot]$ |
$\epsilon_{\rm DM}$ $[\rm{kpc}]$ |
$\Delta x_{\rm gas,SF}$ $[\rm{kpc}]$ |
$z_{\rm final}$ | Simulation Reference(s) |
Methods Reference(s) |
Website | Public Data? | Public Model? | SMF $z=0$ | SMF $z>0$ | SMHM $z=0$ | SMHM $z=1$ | Cosmic SFRD | Tully-Fisher | Galaxy Colors | Stellar Ages | Stellar MZR | Gas MZR | SFMS | Quenched Fraction | Galaxy $f_{\rm H2}$ | Halo $f_{\rm baryon,gas}$ | Stellar Size | $M_{\rm BH} - \sigma$ | $M_{\rm BH} - M_{\star}$ | $\Phi(L_{\rm AGN})$ |
| Illustris | Illustris | 2014 | AREPO | $106.5$ | $1820^3$ | $1820^3$ | $1.3 \times 10^6$ | $6.3 \times 10^6$ | $0.7$ | $0.7$ | 0 | Vogelsberger+14 Genel+14 Sijacki+15 | - | - | - | - | - | |||||||||||||||||
| Magneticum 4uhr | Magneticum | 2014 | GADGET-3 | $68.2$ | $576^3$ | $576^3$ | $1.4 \times 10^7$ | $5.1 \times 10^7$ | $2.0$ | ? | 0 | Hirschmann+14 | ? | - | - | - | - | - | - | - | - | - | - | - | ||||||||||
| Eagle | Eagle | 2015 | GADGET-3 | $100$ | $1504^3$ | $1504^3$ | $1.8 \times 10^6$ | $9.7 \times 10^6$ | $0.7$ | $1.1$ | 0 | Schaye+15 | - | - | - | - | - | |||||||||||||||||
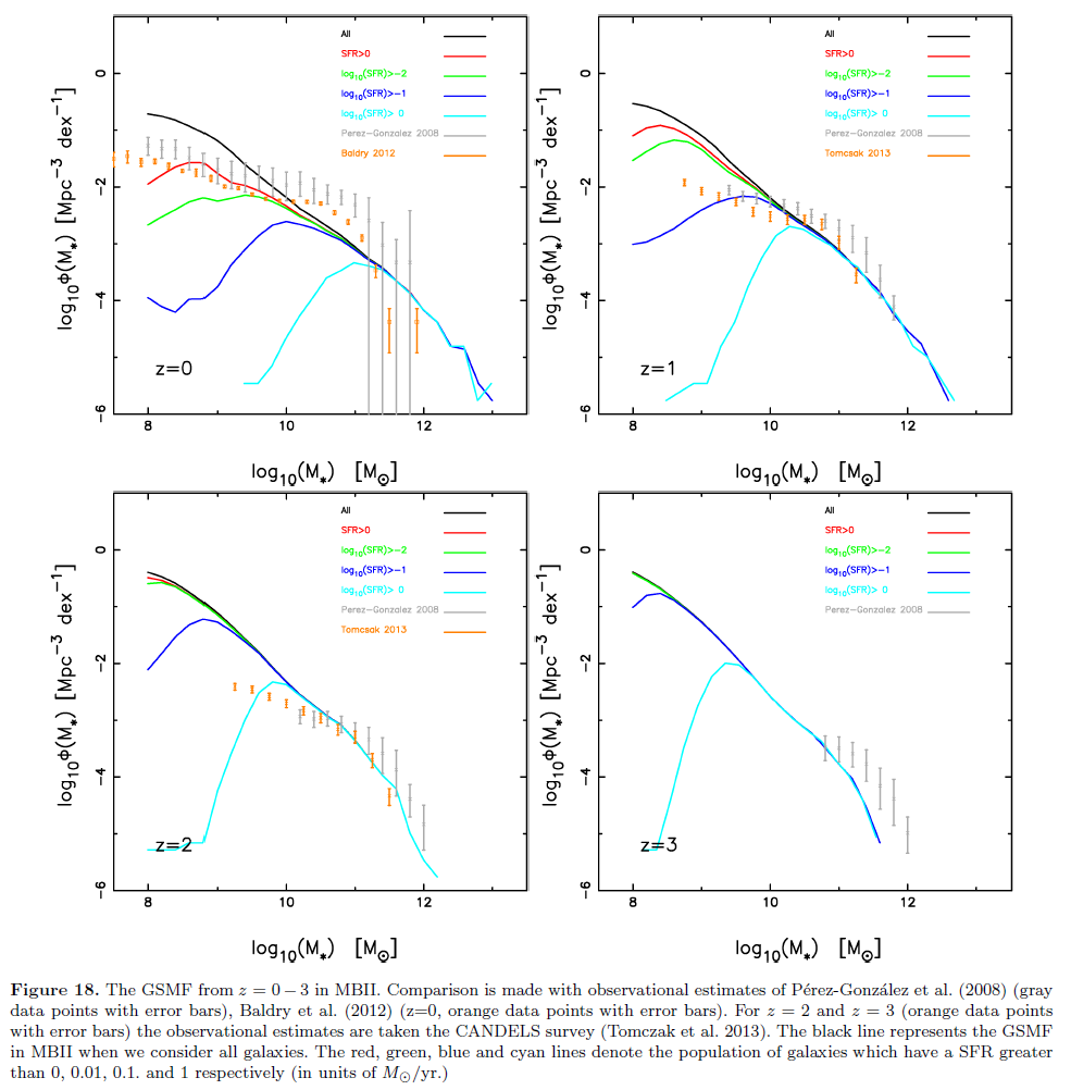
| MassiveBlack-II | MassiveBlack | 2015 | GADGET-3 | $142.7$ | $1792^3$ | $1792^3$ | $3.1 \times 10^6$ | $1.6 \times 10^7$ | $2.6$ | ? | 0 | Khandai+15 | ? | - | - | - | - | - | - | - | - | - | - | - | - | - | - | - | ||||||
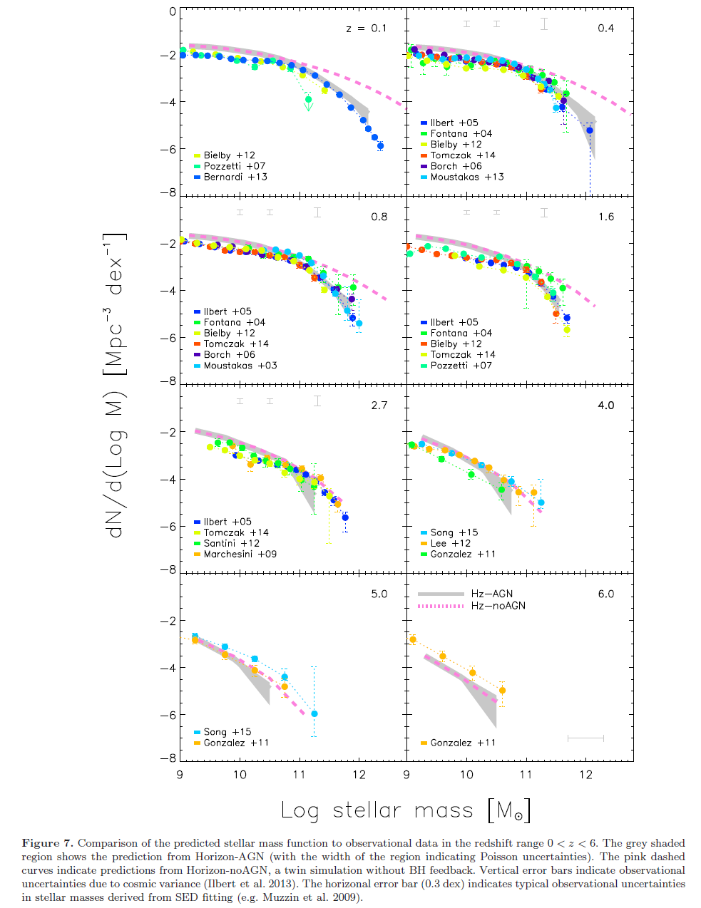
| HorizonAGN | HorizonAGN | 2015 | RAMSES | $142$ | ? | $1024^3$ | --- | $8.0 \times 10^7$ | ? | $1.0$ | 0 | Dubois+14 | ? | - | - | - | - | - | - | - | - | - | - | - | - | |||||||||
| Romulus25 | Romulus | 2016 | ChaNGa | $25$ | $\sim 1100^3$ | $\sim 1100^3$ | $2.1 \times 10^5$ | $3.4 \times 10^5$ | $0.25$ | ? | 0 | Tremmel+16 | ? | - | - | - | - | - | - | - | - | - | - | - | - | - | ||||||||
| MUFASA | MUFASA | 2016 | GIZMO | $73.5$ | $512^3$ | $512^3$ | $1.8 \times 10^7$ | $9.6 \times 10^7$ | $0.74$ | ? | 0 | Dave+16 | ? | - | - | - | - | - | - | - | - | - | - | |||||||||||
| TNG100 | IllustrisTNG | 2017 | AREPO | $110.7$ | $1820^3$ | $1820^3$ | $1.4 \times 10^6$ | $7.5 \times 10^6$ | $0.74$ | $0.7$ | 0 | Springel+18, Pillepich+18, Nelson+18, Marinacci+18, Naiman+18 | , | - | - | - | ||||||||||||||||||
| TNG300 | IllustrisTNG | 2017 | AREPO | $302.6$ | $2500^3$ | $2500^3$ | $1.1 \times 10^7$ | $5.9 \times 10^7$ | $1.5$ | $1.4$ | 0 | Springel+18, Pillepich+18, Nelson+18, Marinacci+18, Naiman+18 | , | - | - | - | - | - | - | - | - | - | ||||||||||||
| FABLE | FABLE | 2018 | AREPO | $58.9$ | $512^3$ | $512^3$ | $9.4 \times 10^6$ | $5.0 \times 10^7$ | $3.5$ | ? | 0 | Henden+18 | ? | - | - | - | - | - | - | - | - | - | - | - | - | - | ||||||||
| Simba100 | Simba | 2019 | GIZMO | $147.1$ | $1024^3$ | $1024^3$ | $1.8 \times 10^7$ | $9.6 \times 10^7$ | $0.74$ | $0.53$ | 0 | Dave+19 | ? | - | - | - | - | - | - | |||||||||||||||
| TNG50 | IllustrisTNG | 2019 | AREPO | $51.7$ | $2160^3$ | $2160^3$ | $8.5 \times 10^4$ | $4.5 \times 10^5$ | $0.29$ | $0.28$ | 0 | Nelson+19, Pillepich+19 | , | - | - | - | - | - | - | - | - | - | - | - | - | - | - | |||||||
| NewHorizon | NewHorizon | 2020 | RAMSES | $16$ | ? | $\sim 470^3$ | --- | $1.2 \times 10^4$ | ? | $0.04$ | 0 | Dubois+21 | ? | - | - | - | - | - | - | |||||||||||||||
| FIREbox | FIREbox | 2022 | GIZMO | $22.1$ | $1024^3$ | $1024^3$ | $6.3 \times 10^4$ | $3.4 \times 10^5$ | $0.08$ | $0.01$ | 0 | Feldmann+23 | - | - | - | - | - | - | - | - | ||||||||||||||
| MillenniumTNG | MillenniumTNG | 2022 | AREPO | $740$ | $4320^3$ | $4320^3$ | $3.1 \times 10^7$ | $1.7 \times 10^8$ | $3.7$ | $1.1$ | 0 | Hernandez-Aguayo+23, Pakmor+23 | , | - | - | - | - | - | - | - | - | - | - | - | ||||||||||
| FLAMINGO | FLAMINGO | 2023 | SWIFT | $1000.0$ | $3600^3$ | $3600^3$ | $1.3 \times 10^8$ | $7.1 \times 10^8$ | $11.2$ | ? | 0 | Schaye+23 | , | - | - | - | - | - | - | - | - | - | - | - | - | - | - | - | - | - | ||||
| CROCODILE | CROCODILE | 2024 | Gadget-4 | $72.5$ | $512^3$ | $512^3$ | $9.8 \times 10^7$ | $1.8 \times 10^7$ | $4.9$ | ? | 0 | Oku+24 | - | - | - | - | - | - | - | - | - | - | - | - | - | - | ||||||||
| COLIBRE L400m7 | COLIBRE | 2025 | SWIFT | $400.0$ | $3008^3$ | $4 \times 3008^3$ | $1.5 \times 10^7$ | $1.9 \times 10^7$ | $3.6$ | ? | 0 | Schaye+25 | - | - | - | - | - | - | - | - | ||||||||||||||
| COLIBRE L200m6 | COLIBRE | 2025 | SWIFT | $200.0$ | $3008^3$ | $4 \times 3008^3$ | $1.8 \times 10^6$ | $2.4 \times 10^6$ | $1.8$ | ? | 0 | Schaye+25 | - | - | - | - | - | - | - | - | ||||||||||||||
| COLIBRE L25m5 | COLIBRE | 2025 | SWIFT | $25.0$ | $752^3$ | $4 \times 752^3$ | $2.3 \times 10^5$ | $3.0 \times 10^5$ | $0.9$ | ? | 0 | Schaye+25 | - | - | - | - | - | - | - | - | ||||||||||||||
| CRK-HACC | CRK-HACC | 2025 | CRK-HACC | $378.4$ | $1024^3$ | $1024^3$ | $3.1 \times 10^8$ | $1.7 \times 10^9$ | $8.9$ | ? | 0 | Frontiere+25 | - | - | - | - | - | - | - | |||||||||||||||
| Name | Year Released | Simulation(s) Run | Hydro Method | Gravity Method | Accelerator(s) | Reference(s) | Public Code |
| RAMSES | 2002 | HorizonAGN, NewHorizon | Adaptive Mesh Refinement (AMR) | Iterative Multigrid | Teyssier+2002 | ||
| GADGET-2/3 | 2005 | EAGLE, MassiveBlack-II, Magneticum | Smoothed Particle Hydrodynamics (SPH) | TreePM | Springel+2005 | ||
| AREPO | 2009 | Illustris, IllustrisTNG, FABLE, MTNG | Moving Voronoi Mesh (MM) | TreePM | Springel+2009 | ||
| ENZO | 2014 | n/a | Adaptive Mesh Refinement (AMR) | Multigrid | Bryan+2014 | ||
| GIZMO | 2014 | Mufasa, Simba, FIREbox | Meshless Finite Mass, Volume (MFM/MFV) | TreePM | Hopkins+2017 | ||
| ChaNGa | 2015 | Romulus25 | Smoothed Particle Hydrodynamics (SPH) | Tree | Menon+2015 | ||
| SWIFT | 2018 | FLAMINGO, COLIBRE | Smoothed Particle Hydrodynamics (SPH), MFM/MFV | FMM-PM | Schaller+2018 | ||
| GADGET-4 | 2020 | CROCODILE | Smoothed Particle Hydrodynamics (SPH) | FMM-PM, TreePM | Springel+2020 | ||
| CRK-HACC | 2023 | CRK-HACC | Smoothed Particle Hydrodynamics (SPH) | TreePM | GPU (CUDA, HIP, SYCL) | Frontiere+2023 |
Please email Dylan Nelson with any updates, additions, or corrections.
Data like above has been combined to produce various comparison figures, and several are collected here.
(1) The Nelson et al. (2019) comparison of cosmological volumes and zooms, in terms of mass resolution and galaxy number statistics:
(2) A comparison of spatial resolution, in terms of the total volume (y-axis) simulated at a given resolution $\Delta x$ or better (x-axis). Periodic boxes (solid) are compared against individual zooms and CGM-refined zooms (dotted) and idealized small-scale simulations (dashed):
(3) The Genel et al. (2014) comparison of cosmological hydrodynamical simulations, in terms of the total number of resolution elements (particles), versus year:
(4) The Schaye et al. (2023) comparison of cosmological hydrodynamical simulations, in terms of baryon mass resolution versus simulated volume: